
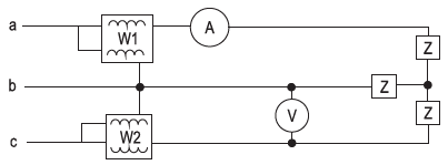
Para o circuito trifásico equilibrado representado na figura acima, as indicações dos instrumentos, wattímetros W1 e W2, amperímetro A e voltímetro V, são, respectivamente: 5.410,75 watts, 4.294,55 watts, 30 amperes e 220 volts.
Nessas condições, o fator de potência da instalação é