1307394
Ano: 2018
Disciplina: TI - Desenvolvimento de Sistemas
Banca: UFMT
Orgão: Pref. Cáceres-MT
Disciplina: TI - Desenvolvimento de Sistemas
Banca: UFMT
Orgão: Pref. Cáceres-MT
Provas:
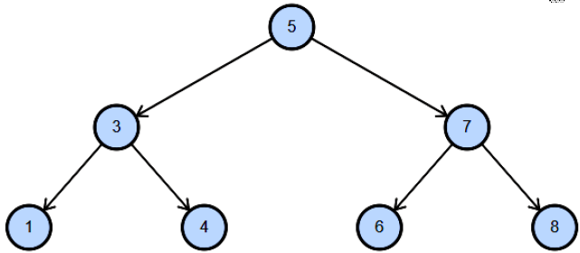
A figura abaixo representa uma árvore binária.

Assinale a alternativa que apresenta o percurso em pós-ordem dessa árvore.