Magna Concursos
128205 Ano: 2010
Disciplina: Engenharia Química
Banca: FGV
Orgão: CAERN
Provas:
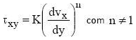
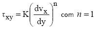
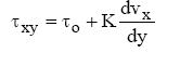
O modelo que descreve o comportamento reológico de um fluido de Bingham é dado por (onde enunciado 128205-1 é a tensão de cisalhamento, enunciado 128205-2 é o gradiente de velocidade e enunciado 128205-3 são parâmetros empíricos)
 

Provas

Questão presente nas seguintes provas

Engenheiro Químico

50 Questões