Magna Concursos
791223 Ano: 2015
Disciplina: Química
Banca: FADURPE
Orgão: CESMAC
Provas:
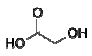
O ácido glicólico é um ácido muito utilizado pelos dermatologistas para melhorar a aparência e a textura da pele. Pode reduzir rugas, cicatrizes de acne, hiperpigmentação e melhorar outras condições da pele, como hiperqueratose, queratose actínica e queratose seborréica. O ácido glicólico apresenta a fórmula estrutural seguinte:
enunciado 2024015-1
e é produzido pela reação do ácido cloroacético com o hidróxido de sódio seguida por uma re-acidificação. A reação pode ser equacionada da seguinte maneira:
!$ ClCH_2CO_2H + NaOH \rightarrow HOCH_2CO_2H + NaCl !$
Desta forma, alguns milhões de quilogramas de ácido glicólico são produzidos anualmente.
Calcule a quantidade de ácido glicólico produzida a partir de 200 g de ácido cloroacético e 70,0 g de hidróxido de sódio.
Dados: Massas molares em g . mol-1: H = 1; C = 12; O = 16; Na = 23; Cl = 35,5.
 

Provas

Questão presente nas seguintes provas