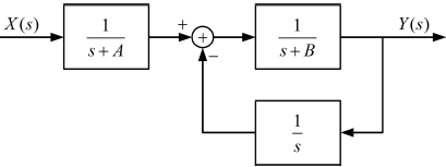
Considere um sistema de tempo contínuo, linear e invariante no tempo, causal, representado pelo diagrama de blocos da figura abaixo, onde A e B são variáveis reais e X(s) e Y (s) representam, respectivamente, as transformadas de Laplace dos sinais de entrada e saída.

Leia com atenção as afirmações a seguir e marque (V) para as verdadeiras e (F) para as falsas.
( ) O sistema possui um zero finito e três polos finitos.
( ) Se A for negativo, o sistema é instável.
( ) Para |B|>2 , o sistema possui dois polos imaginários.
( ) Os valores de A e B não influenciam os zeros do sistema.
( ) Para A=B=2 , o sistema possui dois polos de mesmo valor.
Assinale a alternativa que contém a sequência CORRETA, de cima para baixo.