Magna Concursos
355101 Ano: 2018
Disciplina: Física
Banca: FADESP
Orgão: IF-PA
Provas:

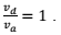
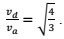
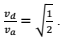
Um disco sólido uniforme e um aro de mesmo raio R são colocados lado a lado no topo de um plano inclinado de altura H. São largados a partir do repouso e descem o plano girando sem deslizar. A razão entre as velocidades do disco sólido vd e a velocidade do aro va, quando estes chegam à base do plano inclinado, é dada por

(Dado: Momento de inércia do disco sólido com raio R: I = 1/2MR2 ; momento de inércia do aro com raio R: I = MR2 .)

 

Provas

Questão presente nas seguintes provas

Professor PEBTT - Física

60 Questões