Magna Concursos
714419 Ano: 2013
Disciplina: Engenharia Elétrica
Banca: CESPE / CEBRASPE
Orgão: TELEBRAS

enunciado 714419-1

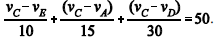
Considere que, no circuito apresentado na figura acima, os potenciais nos pontos A, B, C, D, E, F e G sejam representados, respectivamente, por vA, vB, vC, vD, vE, vF e vG e que o ponto B, fixado como potencial de referência, seja igual a 0 V. Considere, ainda, que I1 e I2 sejam correntes de malhas. Com base nessas informações, julgue o item seguinte.

A equação nodal para o nó C pode ser expressa por enunciado 714419-2

 

Provas

Questão presente nas seguintes provas