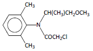
O S-metalacloro é representado pela fórmula:

Este é o ingrediente ativo de um herbicida de uso geral, aplicado no controle de ervas daninhas. Existem evidências da contaminação de águas subterrâneas e superficiais por esse herbicida e também de bioacumulação em peixes.
Na estrtura do 5-metolacloro estão presentes as funções orgânicas
Provas
Questão presente nas seguintes provas