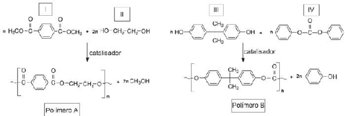
Abaixo estão demonstradas as reações orgânicas de condensação de produção de dois polímeros A e B.

Nessas demostrações, tem-se que:
| Polímero A |
Polímero B | Funções Orgânicas |
Abaixo estão demonstradas as reações orgânicas de condensação de produção de dois polímeros A e B.

Nessas demostrações, tem-se que:
| Polímero A |
Polímero B | Funções Orgânicas |