Magna Concursos
3120380 Ano: 2023
Disciplina: Matemática
Banca: COTEC
Orgão: Pref. Unaí-MG
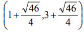
Considere, no plano cartesiano, o ponto A = (2,2), o ponto B = (1,3) e o segmento de reta AB. Um ponto C pertencente ao primeiro quadrante é tal que o segmento BC é perpendicular ao segmento AB e a distância de A até C é 3. Com base nessas informações, pode-se afirmar que o ponto C tem coordenadas
 

Provas

Questão presente nas seguintes provas

Professor da Educação Básica - Matemática

30 Questões