Magna Concursos
3404046 Ano: 2024
Disciplina: Matemática
Banca: IDIB
Orgão: Pref. Dias d'Ávila - BA
Provas:

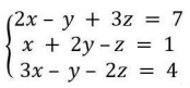
Considere o sistema de equações lineares a seguir:

Enunciado 3896047-1

Calcule o valor de x + y + z.

 

Provas

Questão presente nas seguintes provas

Fiscal de Rendas

50 Questões