
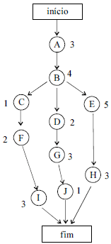
Considere que uma empresa deva executar uma obra para montagem de um conjunto de oleodutos para interligar uma refinaria a um centro de consumo. Considere ainda que a empresa tenha apresentado a lista de atividades a serem executadas na forma de PERT/CPM, conforme mostra a figura ao lado. Nessa figura, dentro de cada círculo, a letra indica a atividade, enquanto o número ao lado representa a duração da atividade em número de dias. Com base na rede PERT/CPM apresentada, julgue o item a seguir.
Caso a realização da atividade C atrase, a conclusão da montagem sofrerá atraso também, já que essa atividade constitui uma atividade gargalo.
Provas
Questão presente nas seguintes provas