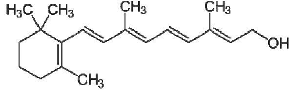
A vitamina A (C20H30O) é um micronutriente que desempenha papel essencial na visão, crescimento, desenvolvimento do osso, desenvolvimento e manutenção do tecido epitelial, processo imunológico e reprodução. A sua estrutura química pode ser representada por:

Com base em sua estrutura química, dadas as afirmativas seguintes,
I. É um composto aromático, pois possui um anel benzênico.
II. Possui um carbono quaternário.
III. Possui 5 ligações duplas.
IV. Possui 4 carbonos terciários.
verifica-se que estão corretas apenas
Provas
Questão presente nas seguintes provas