Com relação a componentes simétricos e à representação de sistemas de potência em pu (por unidade), julgue o próximo item.
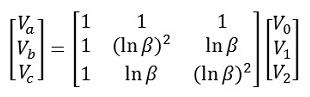
Se as tensões de fase Va, Vb e Vc de um sistema de potência trifásico desequilibrado forem expressas na forma a seguir, em que V0, V1 e V2 formem um conjunto de tensões trifásicas equilibradas, então será um número complexo cuja fase será ß superior a 1 rad.

Se as tensões de fase Va, Vb e Vc de um sistema de potência trifásico desequilibrado forem expressas na forma a seguir, em que V0, V1 e V2 formem um conjunto de tensões trifásicas equilibradas, então será um número complexo cuja fase será ß superior a 1 rad.
