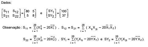
O modelo de regressão linear múltipla correspondente à equação Yi = α + β1X1i + β2X2i + εi foi construído para prever Y em função de X1 e X2. Os parâmetros α, β1 e β2 são desconhecidos, εi corresponde ao erro aleatório com as respectivas hipóteses do modelo de regressão linear múltipla e i refere-se a i-ésima observação. Com base em 20 observações e utilizando o método dos mínimos quadrados, obtiveram-se as estimativas dos parâmetros α, β1 e β2.

As médias das 20 observações de Yi
, X1i e X2i estão representadas acima por
, respectivamente.
Dado que
, tem-se que o valor da estimativa de α é igual a