Magna Concursos
354778 Ano: 2018
Disciplina: Matemática
Banca: FADESP
Orgão: IF-PA

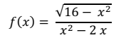
O domínio da função

enunciado 354778-1

é o conjunto

 

Provas

Questão presente nas seguintes provas

Professor PEBTT - Matemática

60 Questões