Magna Concursos
836832 Ano: 2014
Disciplina: Engenharia Elétrica
Banca: VUNESP
Orgão: SAP-SP
Provas:

Considere o enunciado a seguir para responder à questão.

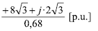
O equivalente de Thévenin em uma barra genérica de um sistema trifásico (ABC) solidamente aterrado é composto por uma fonte de tensão de sequência positiva, igual a 1 [p.u.] e uma matriz de impedâncias série simétrica, cujas impedâncias próprias são iguais a 0,01 + j·0,05 [p.u.] e impedâncias mútuas são iguais a j·0,01 [p.u.].

Supondo que o sistema em questão esteja submetido a um curto-circuito dupla-fase franco (BC) nessa barra, assinale a alternativa que apresenta a corrente de curto-circuito na fase B.
 

Provas

Questão presente nas seguintes provas

Engenheiro Eletricista

40 Questões