253856
Ano: 2012
Disciplina: TI - Desenvolvimento de Sistemas
Banca: CAIP-IMES
Orgão: Câm. São Caetano do Sul-SP
Disciplina: TI - Desenvolvimento de Sistemas
Banca: CAIP-IMES
Orgão: Câm. São Caetano do Sul-SP
Provas:
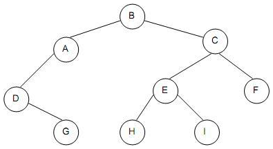
Dada uma estrutura de dados do tipo árvore binária representada pelo diagrama abaixo:

Ao se atravessar a árvore binária acima definida empregando-se o algoritmo INORDER percorreremos os nós:

Ao se atravessar a árvore binária acima definida empregando-se o algoritmo INORDER percorreremos os nós: