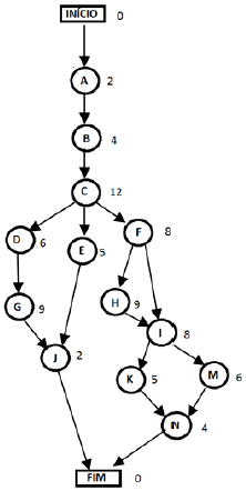
As técnicas denominadas PERT (Program Evaluation and Review Technique) e CPM (Critical Path Method) foram independentemente desenvolvidas para o Planejamento e Controle de Projetos em torno de 1950, sendo utilizadas nos projetos de construção civil. Um exemplo clássico de aplicação de PERT/CPM é o planejamento e o gerenciamento da construção civil. O gráfico abaixo representa as fases de execução de um dado projeto em semanas. O caminho crítico da rede abaixo é:
