Do ponto de vista de sistemas de controle, processos industriais reais
geralmente são modelados por funções mais simplificadas, que
permitem um estudo do seu desempenho por métodos.
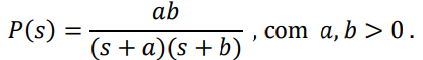
Considere que um processo industrial em malha fechada seja representado pela função de transferência P(s), dada por

Sabendo que a > 5b, a resposta de P(s) ao degrau unitário
Considere que um processo industrial em malha fechada seja representado pela função de transferência P(s), dada por

Sabendo que a > 5b, a resposta de P(s) ao degrau unitário
Provas
Questão presente nas seguintes provas
Tecnologista Jr - Desenvolvimento de Sistemas
45 Questões
Tecnologista Jr - Satélites/Elétrica
45 Questões
Tecnologista Jr - Satélites/Missões Espaciais
45 Questões