Magna Concursos
2845612 Ano: 2022
Disciplina: Matemática
Banca: IFPI
Orgão: IFPI
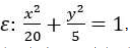
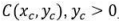
Dada a elipse Enunciado 3205618-1 qual o valor da área (em unidades de área u.a) do triângulo determinado pelos pontos Enunciado 3205618-2 e Enunciado 3205618-3 onde é o ponto de tangência da reta que passa por Enunciado 3205618-4com a elipse Enunciado 3205618-5?
 

Provas

Questão presente nas seguintes provas

Professor PEBTT - Matemática

60 Questões