Magna Concursos
1676231 Ano: 2004
Disciplina: Engenharia Eletrônica
Banca: CESPE / CEBRASPE
Orgão: INPA
Provas:

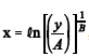
Os modelos de alguns dispositivos eletrônicos apresentam uma relação entre a grandeza de entrada e a de saída do tipo y = AeBx, em que y é a variável de saída, x é a variável de entrada e A e B são constantes reais. A respeito dessa relação exponencial, julgue os seguintes itens.

Como y = AeBx, entãoEnunciado 1676231-1em que Rn é a função logarítmica natural.
 

Provas

Questão presente nas seguintes provas

Técnico de Eletrotécnica

70 Questões