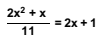
Marque a solução CORRETA da equação a seguir.
Olá, para continuar, precisamos criar uma conta! É rápido e grátis.