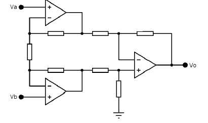
Observe o circuito abaixo, muito utilizado em aplicações de instrumentação.

Supondo amplificadores operacionais ideais e considerando que todos os resistores do circuito sejam idênticos, o sinal de saída pode ser expresso por
Provas
Questão presente nas seguintes provas
Professor PEBTT - Processos Industriais/Área 04
40 Questões