Analise o seguinte fluxograma:

Supondo-se que o usuário entrou com os dados 10 e 6 (primeiro 10 e depois 6), após a execução do algoritmo será exibido ao usuário o valor:
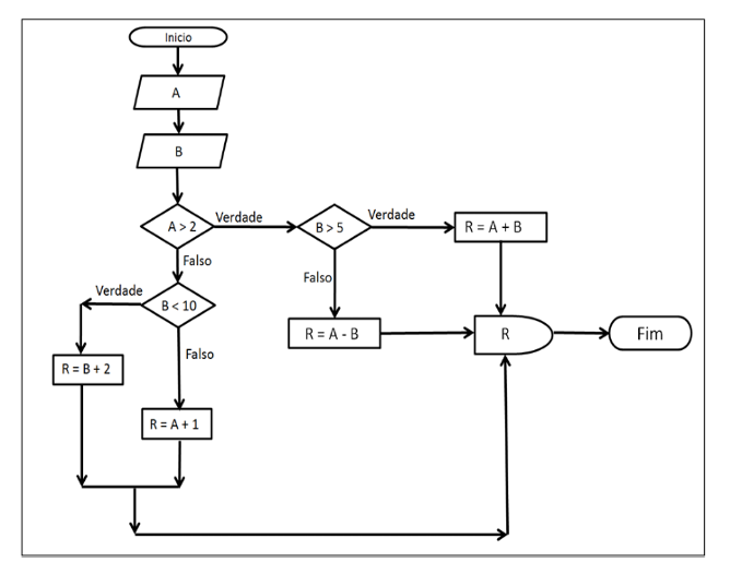
Analise o seguinte fluxograma:

Supondo-se que o usuário entrou com os dados 10 e 6 (primeiro 10 e depois 6), após a execução do algoritmo será exibido ao usuário o valor: