Magna Concursos
2997503 Ano: 2023
Disciplina: Engenharia Mecânica
Banca: CESGRANRIO
Orgão: Transpetro

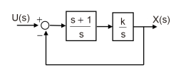
Considere o sistema de controle em malha fechada, dado pelo diagrama de blocos a seguir.

Enunciado 3399730-1

A função de transferência de malha fechada Enunciado 3399730-2 é

 

Provas

Questão presente nas seguintes provas

Técnico de Manutenção - Instrumentação

60 Questões