Magna Concursos
2845223 Ano: 2023
Disciplina: Engenharia Civil
Banca: FGV
Orgão: DPE-RS
Provas:

Quadro 1

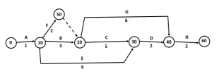
Enunciado 3114423-1

Onde as atividades são:

• A: Instalação do canteiro


• B: Fundações


• C: Estrutura


• D: Telhado


• E: Instalações prediais


• F: Ligações prediais


• G: Alvenaria


• H: Revestimento e pintura

O projeto começa com o início da atividade A e acaba com o término da atividade H.

De acordo com o quadro 1, o diagrama de setas ou rede COM, com atividades em flechas, do projeto é:

 

Provas

Questão presente nas seguintes provas

Analista - Engenharia Civil

70 Questões