Considere o esquema ilustrado abaixo.

A válvula de saída de tanque “LV”, se abrirá conforme requerido pelos controladores de nível, por meio
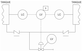
Considere o esquema ilustrado abaixo.

A válvula de saída de tanque “LV”, se abrirá conforme requerido pelos controladores de nível, por meio