As questões de números 25 a 28 referem-se ao quadro estrutural abaixo.

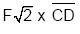
Considerando F > 0, o valor da reação no apoio A valerá:
As questões de números 25 a 28 referem-se ao quadro estrutural abaixo.

Considerando F > 0, o valor da reação no apoio A valerá: