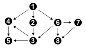
O esquema a seguir representa uma teia alimentar, onde os organismos que a compõem estão representados por números aleatórios.

Nessa teia,
O esquema a seguir representa uma teia alimentar, onde os organismos que a compõem estão representados por números aleatórios.

Nessa teia,