Magna Concursos
3235629 Ano: 2015
Disciplina: Engenharia Mecânica
Banca: UFPR
Orgão: Itaipu

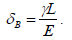
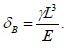
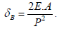
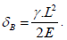
Em uma barra de aço pendurada, de comprimento L , a deformação axial é expressa por Enunciado 3575742-1, em que P é a carga axial, que nesse caso é devida exclusivamente ao peso próprio da barra, A é a área constante da seção transversal e E é o Módulo de Young. Considerando que o peso específico do material seja \( \gamma \), então a deformação da barra será:

 

Provas

Questão presente nas seguintes provas

Engenheiro Mecânico ou Mecatrônico

50 Questões