Magna Concursos
3099075 Ano: 2023
Disciplina: Matemática
Banca: Darwin
Orgão: Pref. Lagoa Itaenga-PE
Provas:
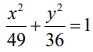
Um certo país laçou um satélite para observar as explosões solares. A orbita deste satélite descreve uma elipse. Considerando um sistema de coordenadas podemos colocar o centro desta elipse na origem do sistema e um dos vértices tem coordenadas (0,7) e está localizado sobre a reta determinada pelo foco da elipse. Sabendo que a elipse passa pelo ponto de coordenadas ( 5 , - 14 / 3) , encontre a equação da elipse.
 

Provas

Questão presente nas seguintes provas

Professor - Matemática

40 Questões