Magna Concursos
405468 Ano: 2017
Disciplina: Engenharia Elétrica
Banca: IFB
Orgão: IFB

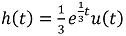
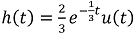
Considere o seguinte circuito:

Enunciado 405468-1

Encontre a resposta ao impulso do circuito h(t), supondo que o sistema é causal.

 

Provas

Questão presente nas seguintes provas

Professor PEBTT - Engenharia Elétrica

50 Questões