Magna Concursos
1411800 Ano: 2013
Disciplina: Engenharia Mecânica
Banca: UFRGS
Orgão: UFRGS
Provas:
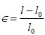
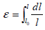
A relação entre a deformação verdadeira Enunciado 1411800-1 a deformação de engenharia Enunciado 1411800-2 de um corpo de prova de ensaio de tração, onde l é o comprimento instantâneo e l0 é o comprimento original de bitola antes de qualquer carga ser aplicada, pode ser descrita por:
 

Provas

Questão presente nas seguintes provas

Engenheiro Mecânico

64 Questões