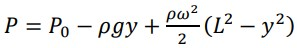
O comprimento de um braço horizontal de um tubo em U é L e as extremidades de ambos os braços verticais se abrem para a pressão atmosférica Po. Um líquido de densidade ρ é despejado no tubo de forma que o líquido preencha apenas a parte horizontal do tubo, conforme mostrado na figura.

Agora, uma extremidade das extremidades abertas é fechada e o tubo é, então, girado em torno de um eixo vertical que passa pelo outro braço vertical com velocidade angular ω. Se o comprimento de cada braço vertical for α e na extremidade fechada o líquido subir até uma altura y, encontre a pressão no tubo fechado durante a rotação.