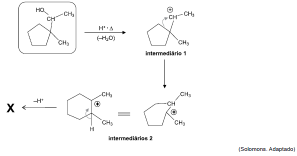
No mecanismo que mostra a reação de desidratação de um álcool, os asteriscos nos intermediários 1 e 2 indicam ligações incompletas dos respectivos átomos de carbono.

A estrutura de X que representa o produto principal da reação é:
Provas
Questão presente nas seguintes provas