Magna Concursos
1750961 Ano: 2008
Disciplina: Engenharia Mecânica
Banca: CESPE / CEBRASPE
Orgão: Petrobrás

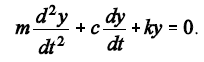
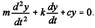
O sistema ao lado pode ser descrito pela equaçãoEnunciado 1750961-1

 

Provas

Questão presente nas seguintes provas

Engenheiro de Equipamentos - Mecânica

120 Questões