Magna Concursos
2561695 Ano: 2018
Disciplina: Química
Banca: Marinha
Orgão: Marinha

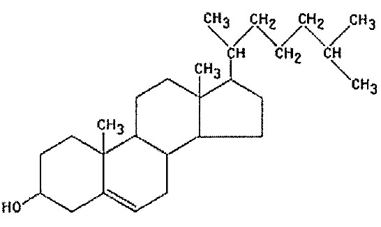
Observe a seguinte fórmula estrutural do composto colesterol.

Enunciado 3391000-1

Assinale a opção que apresenta o número total de centros de quiralidade desse composto.

 

Provas

Questão presente nas seguintes provas

Corpo Auxiliar de Praças - Química

50 Questões