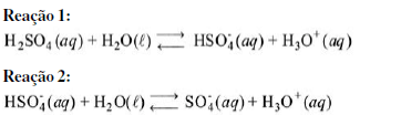
A ionização do H2SO4 em água produz as seguintes reações de equilíbrio:
Segundo a teoria de ácidos e bases de Brönsted-Lowry, as espécies a seguir podem ser definidas como:
HSO4 − como ácido na Reação 1 e na Reação 2;
H2O como ácido Reação 1 e como base na Reação 2;
H3O+ como ácido Reação 1 e como base na Reação 2;
HSO4 − como base na Reação 1 e como ácido na Reação 2;
H2SO4 como ácido Reação 1 e H3O+ como base na Reação 2.
Olá, para continuar, precisamos criar uma conta! É rápido e grátis.