Magna Concursos
1208188 Ano: 2017
Disciplina: Matemática
Banca: IBFC
Orgão: MGS
Provas:
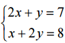
Considerando a solução do sistema linear Enunciado 1208188-1 e sabendo que o valor de x e o valor de y são, respectivamente, o primeiro termo e a razão de uma progressão geométrica, então o quinto termo dessa PG é:
 

Provas

Questão presente nas seguintes provas

Auxiliar Administrativo

20 Questões