- FundamentosLigações Químicas
- FundamentosPropriedades das Substâncias
- Química OrgânicaPropriedades Físicas dos Compostos Orgânicos
Em relação às ligações químicas e aos
compostos orgânicos (funções orgânicas)
analise as afirmativas abaixo.
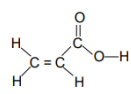
I. As ligações químicas nos compostos orgânicos podem ser do tipo s ou p . A ligação s é formada pela interação de dois orbitais atômicos, segundo o eixo que une os dois átomos, ao passo que na ligação p , a interação dos orbitais atômicos se faz segundo o plano que contém o eixo da ligação.
II Neste composto orgânico podemos encontrar 2 ligações s e 6 ligações p .
III. Neste composto orgânico podemos encontrar 3 ligações s e 6 ligações p .
Estão corretas as afirmativas:
I. As ligações químicas nos compostos orgânicos podem ser do tipo s ou p . A ligação s é formada pela interação de dois orbitais atômicos, segundo o eixo que une os dois átomos, ao passo que na ligação p , a interação dos orbitais atômicos se faz segundo o plano que contém o eixo da ligação.
II Neste composto orgânico podemos encontrar 2 ligações s e 6 ligações p .
III. Neste composto orgânico podemos encontrar 3 ligações s e 6 ligações p .
Estão corretas as afirmativas: