Para responder à questão, quando necessário, considere:
π = 3,14 √2 = 1,41
Analise a figura abaixo que representa um circuito de polarização DC do amplificador fonte comum (FC),
com tensão entre a porta e a fonte (VGS) igual a 2,39 V e transistor de efeito de campo (FET) com as
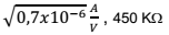
seguintes características: tensão de limiar de condução Vth= 1,2 V, parâmetros de processo
e λ = 0,004V-1 .

Fonte: FUNCERN, 2017.
Para a condição de polarização estabelecida, os respectivos valores da transcondutância (gm) e do resistor de saída para pequenos sinais do FET são