Magna Concursos
2321378 Ano: 2022
Disciplina: Farmácia
Banca: AOCP
Orgão: PM-ES

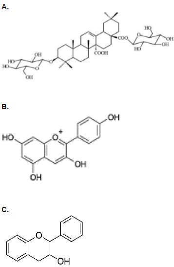
As estruturas químicas (A, B e C) apresentadas a seguir representam exemplos, respectivamente, de:

Enunciado 3553108-1

 

Provas

Questão presente nas seguintes provas

1º Tenente - Farmacêutico Bioquímico

80 Questões