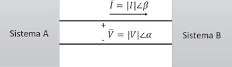
Sabe-se que o sentido do fluxo de potência ativa (P) e reativa (Q) é ditado pelo ângulo de abertura da linha de transmissão, dado pela diferença angular entre a tensão e a corrente (!$ Ψ !$ = !$ α !$ - !$ β !$). Sejam dois sistemas elétricos nomeados como A e B e interligados conforme convenção de sinais apresentada na figura a seguir.

Está correto o que se afirma em