Magna Concursos
1102152 Ano: 2015
Disciplina: Engenharia Mecânica
Banca: FUNCAB
Orgão: PC-AC
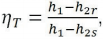
Considere a eficiência isentrópica de uma turbina adiabática, de corrente única, que opera em regime permanente. A eficiência isentrópica pode ser calculada por: Enunciado 1102152-1 , em que h1 é a entalpia no estado de entrada, h2r é a entalpia no estado de saída para o processo real e h2s é a entalpia no estado de saída para o processo isentrópico. Assim sendo, a alternativa correta é:
 

Provas

Questão presente nas seguintes provas

Perito Criminal - Engenharia Mecânica

100 Questões