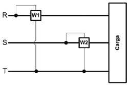
O método dos dois wattímetros é, de modo geral, o mais utilizado para medições de potência trifásica.
Para tal, os dois wattímetros devem estar ligados apropriadamente a duas fases quaisquer do sistema trifásico, conforme a figura apresentada a seguir, em que W1 e W2 representam os dois wattímetros.

Em relação a este método de medição de potência é correto afirmar, EXCETO: