- Química OrgânicaReações OrgânicasReações Orgânicas: Substituição, Adição e Eliminação
- Química OrgânicaReações OrgânicasReações Orgânicas: Oxidação, Redução e Polimerização
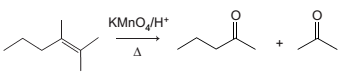
Na equação química abaixo, observa-se a representação da reação do hidrocarboneto insaturado na presença de permanganato de potássio (KMnO4 ), em meio ácido e sob aquecimento, produzindo dois produtos.

A reação do hidrocarboneto é de