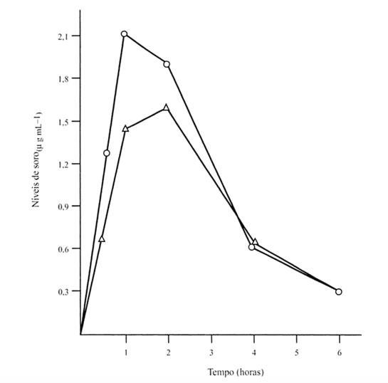
Uma propriedade importante de muitas entidades químicas, incluindo a maior parte dos fármacos, é o seu estado de cristalinidade, já que influencia a sua solubilidade e consequentemente, a biodisponibilidade. O gráfico abaixo representa as curvas da concentração plasmática em função do tempo, após administração oral de suspensões contendo 250 mg de ampicilina anidra e tri-hidratada.

De acordo com o gráfico, é correto afirmar: