
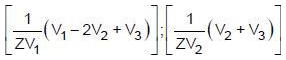
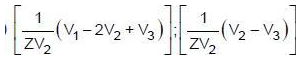
Considere o sistema de distribuição radial da figura acima, com as tensões nas barras 1, 2 e 3 conhecidas e valendo
(Volts), respectivamente. As impedâncias nas linhas de distribuição valem Z (Ohms). Nesse caso, na modelagem admitância constante, as cargas
têm como valores (Siemens), respectivamente,