Magna Concursos
68550 Ano: 2004
Disciplina: TI - Desenvolvimento de Sistemas
Banca: Marinha
Orgão: Marinha

Enunciado 3351428-1

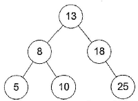
O resultado de um percurso em pré-ordem na árvore da figura acima é

 

Provas

Questão presente nas seguintes provas